发布时间:2025-02-27
浏览次数:10
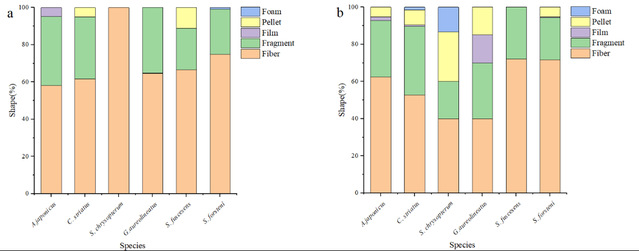
近日,公司304永利集团陆化杰副教授课题组在国际生态与环境管理领域知名期刊《Journal of Environmental Management》(影响因子8.0,中国科公司分区为2区,JCR分区为Q1区。)发表了题为“Deposition Characteristics of Microplastics in Coral Reef Fish with Different Feeding Habits from the Xisha Islands Waters, South China Sea” 的学术论文。论文以中国南海西沙群岛海域的珊瑚礁鱼类为研究对象,揭示了微塑料在珊瑚礁鱼类不同组织中的分布规律,初步阐明了不同食性(肉食性、杂食性、草食性)珊瑚礁鱼类微塑料的沉积特性,并在此基础上推测了中国南海西沙群岛海域微塑料污染水平。

近年来,微塑料污染作为全球环境问题受到广泛关注。微塑料不仅广泛分布于海洋环境中,还能够通过食物链在水生生物体内累积,对海洋生态系统和渔业资源构成潜在威胁。尤其是珊瑚礁生态系统,被誉为“海洋热带雨林”,其健康状况直接关系到海洋生物多样性。本研究结果不仅有助于评估中国南海部分海域的污染状况,还可为全球珊瑚礁生态系统的保护与管理提供科学支撑。

近10年来,课题组以南海渔业资源可持续利用与开发为抓手,与海南省等有关科研院所合作,持续开展了中国南海主要经济鱼类的资源调查与开发、渔业环境监测与保护等相关研究工作,为维护我国在南海的海洋权益添砖加瓦。
(供稿:304永利集团)